ग्रुप-4 सहा.ग्रेड-3, स्टेनोग्राफर (गणित)- 29 जुलाई 2018 शिफ्ट-1
1
तरिनी अपनी वर्गाकार इमारत के चारों ओर दौड़कर मैराथन के लिए अभ्यास कर रही है वह अपनी इमारत के 10 चक्कर पूरे करती है यदि प्रत्येक भुजा लगभग 50 मीटर है तो उसके द्वारा कवर किए गए रनिंग ट्रैक की लंबाई क्या होगी?
2
यदि मेरा और मेरे दोस्त का काम करने का अनुपात क्रमशः 2:3 है तो हमें सौपे गए समान कार्य को समाप्त करने में लगे घंटों की संख्या का अनुपात निम्न होगा?
3
वह द्विघाती बहुपद जिनके शून्यों का योग और शून्यों का गुणनफल क्रमशः 10 और -56 है?
4
रोहन एटीएम जाता है परंतु अपना 4 अंकों का पासवर्ड भूल जाता है यदि उसके पासवर्ड में दहाई के स्थान पर 4 है और पासवर्ड 4 अंकों के संभावित छोटी से छोटी संख्या है, तो आवश्यक पासवर्ड क्या है?
5
केविन और किम के रोल नंबर क्रमशः केन के परीक्षा रोल नंबर की पूर्ववर्ती और परवर्ती है यदि केन का रोल 2440700 नंबर है, तो केविन और किम के रोल नंबर क्रमशः है?
6
45.61,56.72 एवं 23.67 औसत ज्ञात कीजिए?
7
निखिल के पास आयताकार आकार का चार्ट पेपर है जिसकी चौड़ाई 28 सेमी के बराबर है वह कागज को उसकी चौड़ाई में लपेटता है और बेलन के प्रकार का आकार बन जाता है जब वह बेलन के किसी भी तरफ वृत्त की त्रिज्या को मापता है, तो उसे समझ आता है कि वह 20 सेमी है चार्ट पेपर के भीतरी हवा का आयतन क्या है?
8
18x/15 +3x =((x-3) ×-3) +x-7/15 का हल ज्ञात करें?
9
निम्नलिखित में से कौन एक विषम भिन्न है?
10
निम्नलिखित में से कौन सा पूर्ण वर्ग है?
11
गायों और मुर्गियों के एक फार्म में, मुर्गियों की संख्या गायों की संख्या की तीन गुनी है यदि फार्म में सभी प्राणियों के पैरों की कुल संख्या 560 है, तो मुर्गियों और सभी प्राणियों की क्रमिक संख्या ज्ञात करें?
12
सरल करें: ((36÷12) ×(120 का 6/8-36 का 9/2+27/4)) -98
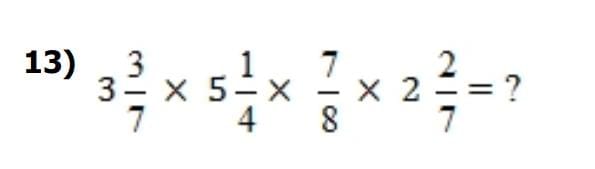
13

Que.

14
यदि p(y) = y³-3y²+5y-3 को एक बहुपद g(y) द्वारा विभाजित किया जाता है, तो भागफल y-3 और शेषफल 7y-9 आता है, इसलिए g(y) है?
15

Que.

16
जब एक संख्या में से 6/7 घटाने पर हमें ½ प्राप्त होता है संख्या है?
17
6x+5/2=7+3x/2 का हल ज्ञात करें?